Chi tiết bài viết - Sở TNMT Bình Dương
Bản tin diễn biến mực nước dưới đất và diễn biến mực nước sông Đồng Nai tại Trạm thủy văn Tân Uyên tháng 04/2019
Mực nước bình quân trên toàn tỉnh có xu thế chung là giảm so với tháng 3 (trung bình giảm 0,34 m) so với cùng kỳ năm 2018. Tuy nhiên, mực nước bình quân trong tất cả các tầng có xu thế tăng so với cùng kỳ 02 năm (tăng 0,33 m) và 05 năm (tăng 0,33 m) trước
A. Tóm tắt nội dung
Cao độ tuyệt đối mực nước của 38 giếng khoan quan trắc các tầng chứa nước: Pleistocen giữa - trên, Pleistocen dưới, Pliocen giữa, Pliocen dưới và tầng đá nứt nẻ MZ và diễn biến mực nước tại Trạm thủy văn Tân Uyên tháng 04/2019 giao động như sau:
I. Kết quả quan trắc nước dưới đất
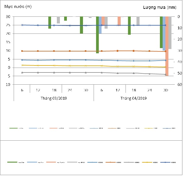
1. Đối với tầng chứa nước Pleistocen giữa- trên

Hình 1: Vị trí Các công trình quan trắc nước dưới đất tầng chứa nước Pleistocen giữa-trên

Hình 2: Biểu đồ tích lũy lượng mưa trung bình và mực nước tầng Pleistocen giữa-trên
Nhận xét:
Tháng 04 năm 2019 là tháng cuối mùa khô, lượng nước dưới đất tháng 04 tăng nhẹ so với tháng 3, mực nước tăng từ 0,05 m đến 0,23 m. So với cùng kỳ năm 2018, mực nước bình quân ở các khu vực giảm nhẹ từ 0,59 m đến 0,64 m; riêng khu vực An Tây có mực nước tăng 1,13 m. So với cùng kỳ giai đoạn 5 năm trước, mực nước bình quân trong tầng Pleistocen giữa trên có xu hướng tăng, khu vực tăng mạnh nhất nằm ở An Tây - Bến Cát.
2. Đối với tầng chứa nước Pleistocen dưới

Hình 3: Vị trí các công trình quan trắc nước dưới đất tầng chứa nước Pleistocen dưới

Hình 4: Biểu đồ tích lũy lượng mưa trung bình và mực nước tầng Pleistocen dưới
Nhận xét
Mực nước bình quân tháng 04 trong tầng giảm từ 0,12 m đến 1,07 m; trong đó khu vực Sóng Thần giảm mạnh nhất 1,07 m so với tháng 03, riêng khu vực An Tây và Phú Hòa có mực nước tăng từ 0,04 m đến 0,32 m.
So với cùng kỳ năm 2018 mực nước giảm, tuy nhiên so với cùng kỳ các năm trước, mực nước bình quân trong tầng Pleistocen dưới có xu hướng tăng (tăng lớn nhất ở khu vực Sóng Thần, Thuận Giao, An Tây, Phú Hòa) cho thấy mực nước dưới đất đang dần phục hồi sau quá trình cảnh báo việc khai thác quá mức của các khu công nghiệp.
3. Đối với tầng chứa nước Pliocen giữa

Hình 5: Vị trí các công trình quan trắc nước dưới đất tầng chứa nước Pliocen giữa

Hình 6: Biểu đồ tích lũy lượng mưa trung bình và mực nước tầng Pliocen giữa

Hình 7: Biểu đồ tích lũy lượng mưa trung bình và mực nước tầng Pliocen giữa (tt)
Nhận xét
Tại tầng Pliocen giữa, mực nước bình quân trong tầng hầu hết đều giảm từ 0,03 m đến 2,44 m so với tháng 3, trong đó khu vực Sóng Thần có mực nước giảm mạnh nhất 2,44 m. So với cùng kỳ các năm trước mực nước có xu thế tăng trong đó, khu vực tăng mạnh nhất ở Sóng Thần tăng 2,52 m.
4. Đối với tầng chứa nước Pliocen dưới

Hình 8: Vị trí các công trình quan trắc nước dưới đất tầng chứa nước Pliocen dưới

Hình 9: Biểu đồ tích lũy lượng mưa trung bình và mực nước tầng Pliocen dưới

Hình 10: Biểu đồ tích lũy lượng mưa trung bình và mực nước tầng Pliocen dưới (tt)
Nhận xét
Tháng 04, mực nước tầng Pliocen dưới ở các công trình quan trắc giảm từ 0,28 m đến 1,66 m, trong đó khu vực Sóng Thần có mực nước giảm mạnh nhất 1,66 m so với tháng 03. So với cùng kỳ các năm trước mực nước tại các khu vực trong tầng Pliocen dưới có xu thế tăng.
5. Đối với tầng chứa nước trong đá Jura (tầng MZ)

Hình 11: Vị trí các công trình quan trắc nước dưới đất tầng chứa nước tầng MZ

Hình 12: Biểu đồ tích lũy lượng mưa trung bình và mực nước tầng MZ
Nhận xét
Mực nước bình quân tháng 04 tầng MZ mực nước giảm từ 0,30 m đến 0,59 m; trong đó, khu vực giảm mạnh nhất là Tam Lập. So với cùng kỳ năm 2014 mực nước có xu thế tăng từ 0,07 m đến 1,28 m, tăng mạnh nhất ở khu vực Lạc An 1,28 m.
Kết luận
Mực nước bình quân trên toàn tỉnh có xu thế chung là giảm nhẹ so với tháng 3 (trung bình giảm 0,34 m) và giảm 0,1 m so với cùng kỳ năm 2018. Tuy nhiên, mực nước bình quân trong tất cả các tầng có xu thế tăng so với cùng kỳ 02 năm (tăng 0,33 m) và 05 năm (tăng 0,33 m) trước.
II. Kết quả Quan trắc của trạm thủy văn Tân Uyên
Biên độ triều lớn nhất trong tháng 04/2019 đo được tại trạm thủy văn Tân Uyên là 367cm; mực nước lớn nhất 208cm, xuất hiện 03 (ba) ngày liên tục vào ngày 18, 19 và ngày 20; mực nước nhỏ nhất -159cm xuất hiện ngày 14;mực nước trung bình 64cm cao hơn tháng 03/2019 là 7cm; nhiệt độ nước trung bình 30,60C, cao hơn 0,70C so với tháng 03/2019; nhiệt độ không khí trung bình 30,10C cao hơn 1,10C so với tháng 03/2019.
So với cùng kỳ năm 2018, mực nước thấp nhất thấp hơn 10 cm, mực nước lớn nhất cao hơn 3 cm và mực nước bình quân thấp hơn 11 cm so với tháng 04/2018.
B. Nội dung chi tiết
1. Diễn biến mực nước dưới đất tháng 04/2019
|
STT |
Vị trí quan trắc |
Mã số |
Tầng chứa nước |
Cao độ tuyệt đối mực nước trung bình |
So sánh với cùng kỳ năm trước |
||||
|
Tháng 03/2019 (m) |
Tháng 02/2019 (m) |
Tăng/giảm |
Cao độ tuyệt đối mực nước trung bình tháng 03/2018 (m) |
Giao động mực nước (m) |
Đánh giá mực nước |
||||
|
|
A |
B |
C |
1 |
2 |
3 |
4 |
5 |
6 |
|
1 |
Phường Phú Hòa, TP. Thủ Dầu Một, tỉnh Bình Dương |
BD0102T |
Pleistocen giữa- trên |
13,20 |
13,15 |
Tăng |
13,78 |
-0,59 |
Giảm |
|
BD0102Z |
Pleistocen |
13,67 |
13,35 |
Tăng |
13,69 |
-0,02 |
Giảm |
||
|
BD0104T |
Pliocen |
13,38 |
13,13 |
Tăng |
12,97 |
0,41 |
Tăng |
||
|
BD0104Z |
Pliocen |
12,57 |
12,40 |
Tăng |
12,55 |
0,03 |
Tăng |
||
|
2 |
Phường An Phú, thị xã Thuận An, tỉnh Bình Dương |
BD0202Z |
Pleistocen |
18,04 |
18,38 |
Giảm |
18,04 |
0,00 |
Tăng |
|
BD0204T |
Pliocen |
2,61 |
3,68 |
Giảm |
2,61 |
0,00 |
Tăng |
||
|
BD0204Z |
Pliocen |
3,26 |
3,67 |
Giảm |
3,26 |
0,00 |
Tăng |
||
|
3 |
KCN Sóng Thần 1, thị xã Dĩ An, tỉnh Bình Dương |
BD0302Z |
Pleistocen |
19,95 |
21,02 |
Giảm |
19,95 |
0,00 |
Tăng |
|
BD0304T |
Pliocen |
18,93 |
21,37 |
Giảm |
18,93 |
0,00 |
Tăng |
||
|
BD0304Z |
Pliocen |
-9,77 |
-8,11 |
Giảm |
-9,77 |
0,00 |
Tăng |
||
|
4 |
Phường Vĩnh Phú, Thị xã Thuận An, tỉnh Bình Dương |
BD0402T |
Pleistocen |
-14,61 |
-14,84 |
Tăng |
-13,97 |
-0,64 |
Giảm |
|
BD0402Z |
Pliocen |
-15,08 |
-14,96 |
Giảm |
-15,01 |
-0,06 |
Giảm |
||
|
BD0404T |
Pliocen |
-15,56 |
-15,53 |
Giảm |
-15,33 |
-0,24 |
Giảm |
||
|
5 |
Phường Thuận Giao, Thị xã Thuận An, tỉnh Bình Dương |
BD0502Z |
Pleistocen |
11,52 |
12,12 |
Giảm |
11,40 |
0,12 |
Tăng |
|
BD0504T |
Pliocen |
-0,11 |
0,36 |
Giảm |
-0,94 |
0,82 |
Tăng |
||
|
BD0504Z |
Pliocen |
-0,55 |
0,24 |
Giảm |
0,81 |
-1,35 |
Giảm |
||
|
6 |
xã An Tây, thị xã Bến Cát, tỉnh Bình Dương |
BD0602T |
Pleistocen giữa- trên |
9,52 |
9,32 |
Tăng |
8,39 |
1,13 |
Tăng |
|
BD0602Z |
Pleistocen |
3,85 |
3,81 |
Tăng |
4,82 |
-0,97 |
Giảm |
||
|
BD0604T |
Pliocen |
3,71 |
4,32 |
Giảm |
3,57 |
0,14 |
Tăng |
||
|
BD0604Z |
Pliocen |
3,11 |
2,94 |
Tăng |
3,58 |
-0,47 |
Giảm |
||
|
7 |
Phường Hiệp An, TP Thủ Dầu Một, tỉnh Bình Dương |
BD0704T |
Pliocen |
5,61 |
5,64 |
Giảm |
4,63 |
0,97 |
Tăng |
|
BD0704Z |
Pliocen |
4,20 |
4,47 |
Giảm |
3,88 |
0,32 |
Tăng |
||
|
8 |
Phường Khánh Bình, thị xã Tân Uyên, tỉnh Bình Dương |
BD0804T |
Pliocen |
10,31 |
10,67 |
Giảm |
10,14 |
0,17 |
Tăng |
|
BD0804Z |
Pliocen |
9,67 |
9,65 |
Tăng |
10,26 |
-0,60 |
Giảm |
||
|
9 |
xã Lạc An, huyện Bắc Tân Uyên, tỉnh Bình Dương |
BD09060 |
Tầng đá nứt nẻ MZ |
23,98 |
24,28 |
Giảm |
24,63 |
-0,65 |
Tăng |
|
10 |
xã Hội Nghĩa, thị xã Tân Uyên, tỉnh Bình Dương |
BD1004T |
Pliocen giữa |
0,95 |
1,64 |
Giảm |
1,55 |
-0,60 |
Giảm |
|
11 |
xã Phú An, thị xã Bến Cát, tỉnh Bình Dương |
BD11020 |
Pleistocen |
0,67 |
1,11 |
Giảm |
1,17 |
-0,50 |
Giảm |
|
BD1104T |
Pliocen |
0,95 |
1,64 |
Giảm |
1,55 |
-0,60 |
Giảm |
||
|
BD1104Z |
Pliocen |
0,70 |
1,22 |
Giảm |
1,31 |
-0,60 |
Giảm |
||
|
12 |
xã Phước Hòa, huyện Phú Giáo, tỉnh Bình Dương |
BD1204T |
Tầng |
32,06 |
31,79 |
Tăng |
32,37 |
-0,30 |
Giảm |
|
13 |
xã Tam Lập, huyện Phú Giáo, tỉnh Bình Dương |
BD13060 |
Tầng đá nứt nẻ MZ |
39,52 |
40,11 |
Giảm |
39,48 |
0,04 |
Tăng |
|
14 |
TT Mỹ Phước, thị xã Bến Cát, tỉnh Bình Dương |
BD1404T |
Pliocen |
-4,34 |
-3,93 |
Giảm |
-3,86 |
-0,48 |
Giảm |
|
BD1404Z |
Pliocen |
-3,37 |
-2,79 |
Giảm |
-2,88 |
-0,48 |
Giảm |
||
|
15 |
xã Tân Long, huyện Phú Giáo, tỉnh Bình Dương |
BD1504T |
Pliocen |
30,36 |
30,67 |
Giảm |
29,96 |
0,40 |
Tăng |
|
16 |
xã Long Tân, huyện Dầu Tiếng, tỉnh Bình Dương |
BD1604Z |
Pliocen |
25,00 |
24,90 |
Tăng |
24,40 |
0,59 |
Tăng |
|
17 |
TT Phước Vĩnh, huyện Phú Giáo, tỉnh Bình Dương |
BD1704T |
Pliocen |
42,87 |
43,03 |
Giảm |
42,07 |
0,80 |
Tăng |
|
18 |
Phường An Phú, thị xã Thuận An, tỉnh Bình Dương |
BD1802Z |
Pleistocen |
23,25 |
23,61 |
Giảm |
24,00 |
-0,75 |
Giảm |
2. Diễn biến mực nước sông Đồng Nai tại trạm thủy văn Tân Uyên tháng 04/2019
|
Mực nước (cm) |
|||||
|
Đặc trưng tháng |
Tháng |
Tháng |
Tăng |
So với cùng kỳ năm trước |
|
|
Tháng |
Tăng |
||||
|
Trung bình |
64 |
57 |
07 |
75 |
-11 |
|
Lớn nhất |
208 |
205 |
03 |
205 |
03 |
|
Ngày xuất hiện |
18(3) |
20 |
|
1 |
|
|
Nhỏ nhất |
-159 |
-143 |
-16 |
-149 |
-10 |
|
Ngày xuất hiện |
14 |
03 |
|
25 |
|
|
Biên độ triều |
367 |
348 |
19 |
354 |
13 |
*Ghi chú: Trong cột Tăng giảm, dấu “-“ thể hiện mực nước giảm
|
Ngày |
Cao độ tuyệt đối mực nước (cm) |
Nhiệt độ nước (°C) |
Nhiệt độ không khí(°C) |
||
|
Đỉnh triều |
Chân triều |
||||
|
1 |
185 |
-128 |
29,9 |
29,8 |
|
|
2 |
187 |
-99 |
30,3 |
29,0 |
|
|
3 |
191 |
-75 |
30,3 |
29,3 |
|
|
4 |
193 |
-73 |
30,3 |
29,5 |
|
|
5 |
198 |
-55 |
30,4 |
29,0 |
|
|
6 |
190 |
-44 |
30,1 |
30,0 |
|
|
7 |
185 |
-67 |
30,2 |
29,5 |
|
|
8 |
183 |
-80 |
30,5 |
29,0 |
|
|
9 |
197 |
-105 |
30,7 |
29,3 |
|
|
10 |
187 |
-86 |
30,5 |
30,0 |
|
|
11 |
178 |
-129 |
30,5 |
30,0 |
|
|
12 |
170 |
-141 |
30,4 |
30,4 |
|
|
13 |
152 |
-149 |
30,5 |
30,0 |
|
|
14 |
151 |
-155 |
30,4 |
30,8 |
|
|
15 |
187 |
-152 |
30,6 |
30,3 |
|
|
16 |
194 |
-133 |
30,7 |
30,3 |
|
|
17 |
201 |
-89 |
30,7 |
30,3 |
|
|
18 |
208 |
-54 |
30,5 |
30,7 |
|
|
19 |
205 |
-33 |
31,0 |
31,0 |
|
|
20 |
208 |
-33 |
30,8 |
30,5 |
|
|
21 |
186 |
-59 |
30,8 |
30,6 |
|
|
22 |
197 |
-110 |
30,8 |
30,3 |
|
|
23 |
198 |
-98 |
30,9 |
30,8 |
|
|
24 |
192 |
-86 |
31,0 |
30,9 |
|
|
25 |
182 |
-60 |
31,1 |
30,8 |
|
|
26 |
167 |
-75 |
31,2 |
30,5 |
|
|
27 |
158 |
-117 |
30,9 |
30,5 |
|
|
28 |
148 |
-121 |
30,8 |
29,0 |
|
|
29 |
169 |
-123 |
30,7 |
29,8 |
|
|
30 |
160 |
-120 |
30,9 |
30,8 |
|
|
31 |
185 |
-128 |
29,9 |
29,8 |
|
- Góp ý dự thảo Quyết định của Thủ tướng Chính phủ về Quy định mực nước tương ứng với các cấp báo động lũ trên các sông thuộc phạm vi cả nước (26/04/2019)
- Nhận định tình hình KTTV 10 ngày tới (01 - 10/04/2019). (09/04/2019)
- Nhận định xu thế thiên tai mùa mưa, bão, lũ năm 2019 (28/03/2019)
- Nhận định tình hình KTTV 11 ngày tới (21 - 31/3/2019). (28/03/2019)
- Nhận định tình hình KTTV 10 ngày tới (11 - 20/3/2019) (20/03/2019)
- Nhận định tình hình KTTV 11 ngày tới (21 - 31/10/2018) (19/02/2019)
- Nhận định tình hình KTTV 10 ngày tới (11 - 20/10/2018) (02/11/2018)
- Nhiệm vụ chi và mức chi mới thực hiện Chương trình mục tiêu ứng phó với biến đổi khí hậu và tăng trưởng xanh giai đoạn 2016-2020. (02/11/2018)
- Nhận định tình hình KTTV 10 ngày tới (11 - 20/9/2018) (02/11/2018)





